遼寧師范大學的高賀明教授團隊再發高分SCI!該團隊在Psychological Medicine(IF=5.5)發表了名為 Transcranial magnetic stimulation to left VLPFC or right DLPFC promotes forgetting in working memory 的文章。
一、研究背景
工作記憶(WM)是一種暫時存儲和處理有限容量信息的系統,有意遺忘任務相關信息可以減少WM負荷,促進任務相關信息的加工。
一些研究開發了工作記憶導向遺忘(WM - DF)范式,以研究WM中任務相關和任務無關信息的處理方式。受試者被要求記住一些項目,然后給他們一個回憶/遺忘提示,表明這些項目是要記住的(TBR)還是要忘記的(TBF)。結果顯示,被試對TBR條目的記憶優于TBF條目,存在DF效應(即指通過主動控制機制在工作記憶中抑制或清除不相關信息的認知過程)。
同時,為了研究前額葉皮層激活對記憶調節的不同影響,采用高頻重復經顱磁刺激(rTMS)分別刺激左側VLPFC(參與思想替代機制)和右側DLPFC(參與直接抑制過程)。本研究假設使用rTMS激活右側DLPFC會通過增強直接抑制過程來損害TBF項目的記憶,從而為抑制理論提供支持。
二、研究方法
1、實驗程序
受試者進行WM-DF任務的練習(32個試次)。短暫休息(5分鐘)后,受試者接受約12.2 min的高頻rTMS。之后,受試者執行約45分鐘的WM-DF任務。
對于WM-DF任務,每次試驗開始時固定500毫秒。然后,在固定的左右兩側分別呈現兩個項目,持續1000 ms。在500 ms空白后,在注視的一側呈現一個提示,持續500 ms。在4000毫秒的空白之后,搜索數組將呈現長達5000毫秒的時間,并在受試者按鍵后消失。在1000毫秒的空白之后,進行記憶測試,并在2000毫秒進行反應(圖1)。正式實驗包括240個試次(每種情況40個試次)。每組60個試次后,受試者進行短暫休息(2分鐘)。
![]()
圖1 實驗設計和程序。
注:經顱磁刺激分別作用于左腹外側前額葉皮層(VLPFC)、右背外側前額葉皮層(DLPFC)和頂點區。利用SimNIBS軟件對模擬電場進行了圖示。紅色方塊在IR條件下作為有意TBR項目,在IF條件下作為替代TBR項目。紫色五角形作為被動TBF或主動TBF項目。
2、WM-DF任務
本研究采用一種改進的WM-DF任務(圖1)在這項任務中,受試者最初被要求記住兩個項目,其中一個隨后被提示在IR(提示記住與任務相關的信息而忘記與任務無關的信息)或IF條件(忘記與任務無關的信息,同時記住與任務有關的信息)下記住或忘記。最終得到了四種類型的項目,即有意TBR和被動TBF(IR條件),替代TBR和主動TBF(IF條件)。(注:紅色方塊在IR條件下作為有意TBR項目,在IF條件下作為替代TBR項目。紫色五角形作為被動TBF或主動TBF項目。)
然后,通過視覺搜索任務來評估與TBR或TBF項目相關的記憶痕跡強度。在視覺搜索任務中,受試者被要求通過按鍵盤上的“Z”或“M”鍵來區分嵌入在物體中的目標黑線的方向(左或右)。根據干擾物匹配類型,將實驗分為兩類,即干擾物匹配和不匹配實驗。在干擾物匹配實驗中,搜索數組中的一個對象與記憶項目的顏色和形狀都匹配。在干擾物不匹配的實驗中,搜索數組中沒有一個對象與記憶對象有任何相同的特征。根據線索類型和干擾物匹配類型的組合,得到了6種條件:有意TBR匹配實驗、被動TBF匹配實驗、替代TBR匹配實驗、主動TBF匹配實驗、IR不匹配實驗和IF不匹配實驗。
TBR/TBF項目在搜索數組中充當干擾。與不存在干擾物的情況相比,存在干擾物的情況(與TBR/TBF項目相匹配的干擾物)的反應時更長,說明存在干擾物的注意捕獲效應(ACE)(注:指環境中某些突顯的、任務無關的刺激自動吸引注意力的心理現象)。干擾物的記憶痕跡越強,ACE的程度越高。
3、記憶測試
在記憶測試中,受試者被要求通過按鍵盤上的“Z”或“M”來反應所呈現的項目是否與TBR項目相同。記憶測試只測試TBR(有意TBR和替代TBR)項的記憶。
4、TMS刺激方案
使用經顱磁刺激儀(M-100 Ultimate,深圳英智科技有限公司,中國深圳)的八字形線圈(BY-90A)進行10Hz的高頻刺激,刺激強度設置為110%的靜息運動閾值(RMT)。
線圈的位置根據國際10-20 EEG系統確定,其中F4為右側DLPFC的位置,F7為左側VLPFC刺激的位置,Cz代表頂點,由于頂點刺激對正在進行的任務相關過程的影響最小,因此本研究中用作控制條件。
經顱磁刺激分別作用在左腹外側前額葉皮層(VLPFC)、右背外側前額葉皮層(DLPFC)和頂點區。利用SimNIBS軟件對模擬電場進行了圖示(圖1)。一共進行了33次刺激,每次持續3秒,每次刺激間隔20s,在12.2 min內的脈沖總數為990次。
5、數據分析
對于視覺搜索任務,分別以搜索類型(有意TBR匹配、被動TBR匹配、替代TBR匹配、主動TBR匹配、IR不匹配和IF不匹配)和刺激位置組(右DLPFC、左VLPFC和頂點)作為被試間因素對搜索精度和logRT進行重復測量方差分析。不同項目類型的ACE是通過從匹配試驗中減去不匹配試驗的logRT來計算的。
對于ACE,以項目類型(有意TBR、被動TBF、替代TBR和主動TBF)作為被試內變量,以組為被試間變量,進行重復測量方差分析。
三、研究結果
1、視覺搜索任務的結果
對于檢索精度,方差分析顯示實驗類型是主要影響因素。兩兩比較顯示:
(1)與替代TBR匹配和主動TBR匹配實驗相比,IF不匹配的準確性更高。
(2)被動TBF匹配試驗的準確性高于非IR匹配試驗;在有意TBR匹配試驗和IR非匹配試驗之間沒有發現準確性差異。各組主效應和實驗類型與組間交互作用均不顯著。
簡單效應分析顯示:
(1)三組中,與IR不匹配的試驗(即有意TBR項目的ACE)相比,有意TBR匹配的logRT更長。
(2)在左側VLPFC組中,被動TBF匹配組的logRT(即被動TBF項目的ACE)比IR不匹配組更長,而在頂點組和右側DLPFC組中則沒有。
(3)與IF不匹配試驗相比,三組替代TBR匹配和主動TBF匹配實驗(即替代TBR和主動TBF項目的ACE)的logRT均較長。(表1)
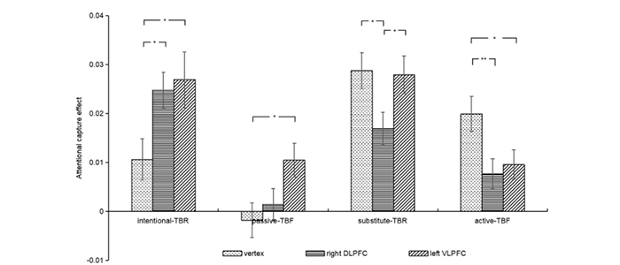
ACE項目類型與組交互作用顯著。簡單效應分析結果表明:
(1)三組TBR(有意TBR和替代TBR)項目的ACE均大于TBF(被動TBF和主動TBF)項目;
(2)頂點組替代TBR的ACE大于有意TBR項目,而右DLPFC組和左VLPFC組的ACE均大于有意TBR項目;頂點組主動TBF的ACE大于被動TBF,但右DLPFC組和左VLPFC組的ACE均大于被動TBF ;
(3)對于有意TBR,與頂點組相比,右側DLPFC 和左側VLPFC的ACE均增加。右側DLPFC組與左側VLPFC組間無差異;
(4)對于替代TBR,左側VLPFC組和頂點組的ACE均大于右側DLPFC組和頂點組。左側VLPFC與頂點組間無差異;
(5)對于被動TBF,左側VLPFC與頂點組相比ACE值較大,但與右側DLPFC組相比ACE值較小,右側DLPFC與頂點組之間無差異;
(6)與頂點組相比,右側DLPFC組和左側VLPFC組的ACE均有所降低。右側DLPFC組和左側VLPFC組間無顯著差異(圖2)。
表1 不同組中不同搜索類型的平均搜索RT
![]()
圖2 在頂點、右側背外側前額葉皮層和左側腹外側前額葉皮層組中,有意TBR、被動 TBF、替代TBR和主動TBF項目的注意捕獲效應(ACE)。
2、記憶測試的結果
在不同條件下,記憶測驗的準確率均在93.45%以上。方差分析的結果顯示,主效應和項目類型×組交互作用均不顯著;這些結果表明,在不同條件下和三組之間,記憶測試的準確性沒有顯著差異。
四、研究結論
除了右側DLPFC和頂點組的被動TBF項目外,所有項目類型的反應時都比干擾物匹配實驗(即ACE)更長。這些記憶項目作為搜索數組中的干擾物捕獲了受試者的注意力,表明這些項目被保存在工作記憶中。更重要的是,與 TBF 項目相比,TBR 項目在所有組中都表現出更高的 ACE 值,這表明 TBR 項目在記憶痕跡方面優于 TBF 項目(即 DF 效應)。這些發現表明,受試者能夠根據線索成功地操縱工作記憶中存儲的信息。
刺激右DLPFC或左VLPFC能夠促進主動遺忘。右側DLPFC的激活可能會改善主動忘記(TBF)項目的直接抑制,從而促進在涉及明確記憶線索的條件下對要記住(TBR)項目的選擇性重復。左側VLPFC的激活可以改善思維替代過程,在與明確遺忘提示有關的條件下增強對TBR項目的記憶和對TBF項目的記憶抑制。遺忘是一個主動的過程,可以通過非侵入性的大腦刺激來調節。
